Skip to content Skip to sidebar Skip to footer

Widget HTML #1

How Many Combinations With 4 Numbers 0-9 : Thus, 27,405 different groupings of 4 players are possible.

How Many Combinations With 4 Numbers 0-9 : Thus, 27,405 different groupings of 4 players are possible.. But not 1111, 2113, 0992 etc. Enter your objects (or the names of them), one per line in the box below, then click show me! to see how many ways they can be arranged, and what those arrangements are. That means there's $10\times 9\times 8 \times 7 = 5040$ combinations. Your code has 4 spots open: Then a comma and a list of items separated by commas.

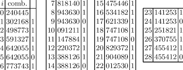
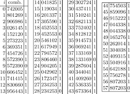
A permutation of some number of objects means the collection of all possible arrangements of those objects. How many ways can you write 1234? Enter 30 for number of sample points in set . The combinations calculator will find the number of possible combinations that can be obtained by taking a sample of items from a larger set. Because there are four numbers in the combination, the total number of possible combinations is 10 choices for each of the four numbers.

Ex 7 3 2 How Many 4 Digit Numbers Are There With No Ex 7 3
Ex 7 3 2 How Many 4 Digit Numbers Are There With No Ex 7 3 from d1avenlh0i1xmr.cloudfront.net
Basically, it shows how many different possible subsets can be made from the larger set. 8 items have a total of 40,320 different combinations. The word has followed by a space and a number. The question is whether or not your personal pin number choices are among the commonly used ones or 'stand out' as being more unique. This is a combination problem. Because there are four numbers in the combination, the total number of possible combinations is 10 choices for each of the four numbers. There are total of ten possible digits (0 to 9) that can occupy any of the 4 dials. Choose count combinations as the analytical goal.

But not 1111, 2113, 0992 etc.

Rules in detail the has rule. Divide this by the number of ways to order each one, 24, and you get 210, as you said. A permutation of some number of objects means the collection of all possible arrangements of those objects. Enter 30 for number of sample points in set . Enter 4 for number of sample points in each combination. How many ways can you arrange 1234? The word has followed by a space and a number. Between 0 and 9 there are 8 numbers. In excel, you can use below formula to list all possible 4 digits combinations of number 0 to 9. In any pick 3 game, there are 3 digit positions, with each position containing a digit from 0 to 9. But not 1111, 2113, 0992 etc. This combination generator will quickly find and list all possible combinations of up to 7 letters or numbers, or a combination of letters and numbers. Which of these pin codes is the least predictable?

Using our combination calculator, you can calculate that there are 2,598,960 such combinations possible, therefore the chance of drawing a particular hand is 1 / 2,598,960. Plus, you can even choose to have the result set sorted in ascending or descending order. Enter your objects (or the names of them), one per line in the box below, then click show me! to see how many ways they can be arranged, and what those arrangements are. Enter 30 for number of sample points in set . Really you are looking for how many options do you have at each spot.

1
1 from
Select 3 unique numbers from 1 to 4. In excel, you can use below formula to list all possible 4 digits combinations of number 0 to 9. How many ways can you write 1234? 4 * 3 * 2 * 1 = 24 permutations. Because there are four numbers in the combination, the total number of possible combinations is 10 choices for each of the four numbers. Or is that too much like common sence and the real answer is some stupid math rule. For this calculator, the order of the items chosen in the subset does not matter. In any pick 3 game, there are 3 digit positions, with each position containing a digit from 0 to 9.

Select 3 unique numbers from 1 to 4.

123 is ok but not 321 or 231,132,213, etc. So, the total number of combinations= 10 x 10 x 10 x 10 = 10,000 Some of the possible combinations are 1911, 0000, 3145 and 2458. How many ways can you arrange 1234? Which of these pin codes is the least predictable? That means there's $10\times 9\times 8 \times 7 = 5040$ combinations. Enter 30 for number of sample points in set . If one were to list all of the possible combinations of digits in each of the three positions,. If order does not matter (e.g. Lottery numbers) 4 (~ 4.0) if order matters (e.g. Cycling, baseball and tennis, the possible combinations would. The elements are not repeated, and it does not matter the order of the group's elements. In any pick 3 game, there are 3 digit positions, with each position containing a digit from 0 to 9.

Some of the possible combinations are 1911, 0000, 3145 and 2458. Rules in detail the has rule. The combinations calculator will find the number of possible combinations that can be obtained by taking a sample of items from a larger set. The numbers can be repeated as long as they are not of the same set. Thus, 27,405 different groupings of 4 players are possible.

Example Lottery Probability Video Khan Academy
Example Lottery Probability Video Khan Academy from cdn.kastatic.org
This is a combination problem. Rules in detail the has rule. In excel, you can use below formula to list all possible 4 digits combinations of number 0 to 9. The combinations calculator will find the number of possible combinations that can be obtained by taking a sample of items from a larger set. A permutation of some number of objects means the collection of all possible arrangements of those objects. Using our combination calculator, you can calculate that there are 2,598,960 such combinations possible, therefore the chance of drawing a particular hand is 1 / 2,598,960. There are 10 possible numbers for the first digit, and then you can't use that number again, so 9 for the second, and using the same logic, 8 for the third and 7 for the fourth. Combination probability and linear combination.

Choose count combinations as the analytical goal.

If one were to list all of the possible combinations of digits in each of the three positions,. If order does not matter (e.g. Thus, 27,405 different groupings of 4 players are possible. But not 1111, 2113, 0992 etc. This combination generator will quickly find and list all possible combinations of up to 7 letters or numbers, or a combination of letters and numbers. Because there are four numbers in the combination, the total number of possible combinations is 10 choices for each of the four numbers. Which of these pin codes is the least predictable? For a one digit number you have 10 possibilities, 0,1,2,3,4,5,6,7,8 and 9. The word has followed by a space and a number. Lottery numbers) 4 (~ 4.0) if order matters (e.g. How many combinations in sets of 5 using the numbers 1 thru 10? Rules in detail the has rule. Using our combination calculator, you can calculate that there are 2,598,960 such combinations possible, therefore the chance of drawing a particular hand is 1 / 2,598,960.

Which of these pin codes is the least predictable? how many combinations with 4 numbers. How many ways can you write 1234?